Ecuatie De Gradul 3 Rezolvare

Funcție Algebrică De Gradul Al Treilea Wikipedia

Funcție Algebrică De Gradul Al Treilea Wikipedia

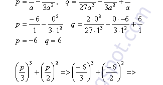
Relatiile Lui Viete Polinom De Gradul 3 Cu Exemple Rezolvate Bac Matematica Jitaruionelblog Pregatire Bac Si Evaluarea Nationala 2020 La Matematica Si Alte Materii Materiale Lectii Formule Exercitii Rezolvate Matematica Gimnaziu

Relatiile Lui Viete Polinom De Gradul 3 Cu Exemple Rezolvate Bac Matematica Jitaruionelblog Pregatire Bac Si Evaluarea Nationala 2020 La Matematica Si Alte Materii Materiale Lectii Formule Exercitii Rezolvate Matematica Gimnaziu

Ecuatie De Gradul 2 Rezolvata In Trei Moduri Lic Ecuatia2 4 Youtube

Ecuatie De Gradul 2 Rezolvata In Trei Moduri Lic Ecuatia2 4 Youtube

Formule Online Probleme Si Exercitii Rezolvate Rezolvarea Ecuatiei De Gradul Al Treilea

Formule Online Probleme Si Exercitii Rezolvate Rezolvarea Ecuatiei De Gradul Al Treilea

Relatiile Lui Viete Polinom De Gradul 3 Cu Exemple Rezolvate Bac Matematica Jitaruionelblog Pregatire Bac Si Evaluarea Nationala 2020 La Matematica Si Alte Materii Materiale Lectii Formule Exercitii Rezolvate Matematica Gimnaziu

Relatiile Lui Viete Polinom De Gradul 3 Cu Exemple Rezolvate Bac Matematica Jitaruionelblog Pregatire Bac Si Evaluarea Nationala 2020 La Matematica Si Alte Materii Materiale Lectii Formule Exercitii Rezolvate Matematica Gimnaziu

Descompunerea In Factori Folosind Ecuatia De Gradul Al Ii Lea Youtube

Descompunerea In Factori Folosind Ecuatia De Gradul Al Ii Lea Youtube

Descompunerea In Factori Folosind Ecuatia De Gradul Al Ii Lea Youtube

Funcție Algebrică De Gradul Al Treilea Wikipedia

Funcție Algebrică De Gradul Al Treilea Wikipedia

Radacinile Unui Polinom Ecuatii De Grad Superior Lic Pol9 Youtube

Radacinile Unui Polinom Ecuatii De Grad Superior Lic Pol9 Youtube

Ecuatia De Gradul Al Ii Lea

Ecuatia De Gradul Al Ii Lea

Formule Online Probleme Si Exercitii Rezolvate Ecuatia De Gradul 3 Exercitiu Rezolvat 1

Formule Online Probleme Si Exercitii Rezolvate Ecuatia De Gradul 3 Exercitiu Rezolvat 1

Ecuatii Si Inecuatiireductibile La Ecuatii Si Inecuatii Patrate

Ecuatii Si Inecuatiireductibile La Ecuatii Si Inecuatii Patrate

Ecuatii De Gradul 1 Si 2 Anideșcoală Ro

Ecuatii De Gradul 1 Si 2 Anideșcoală Ro

Relatiile Lui Viete Polinom De Gradul 3 Cu Exemple Rezolvate Bac Matematica Jitaruionelblog Pregatire Bac Si Evaluarea Nationala 2020 La Matematica Si Alte Materii Materiale Lectii Formule Exercitii Rezolvate Matematica Gimnaziu

Relatiile Lui Viete Polinom De Gradul 3 Cu Exemple Rezolvate Bac Matematica Jitaruionelblog Pregatire Bac Si Evaluarea Nationala 2020 La Matematica Si Alte Materii Materiale Lectii Formule Exercitii Rezolvate Matematica Gimnaziu

Formuleonline Probleme Si Exercitii Rezolvate Ecuatia De Gradul 2 Exercitiu Rezolvat 9 Math Examples Math Chemistry

Formuleonline Probleme Si Exercitii Rezolvate Ecuatia De Gradul 2 Exercitiu Rezolvat 9 Math Examples Math Chemistry

Exercitii Rezolvate Ecuatia De Gradul 2 Lic Ecuatia2 2 Youtube

Exercitii Rezolvate Ecuatia De Gradul 2 Lic Ecuatia2 2 Youtube

Formule Pentru Rezolvarea Ecuatiilor De Gradul 2 3 Si 4

Formule Pentru Rezolvarea Ecuatiilor De Gradul 2 3 Si 4

Ecuatia De Gradul Al Ii Lea

Ecuatia De Gradul Al Ii Lea

Plan De Lecție Ecuaţia De Gradul Al Ii Lea Geogebra

Plan De Lecție Ecuaţia De Gradul Al Ii Lea Geogebra

Ecuatii Reciproce

Ecuatii Reciproce

Tabele Matematice Uzuale Online Algebră Rezolvarea Ecuaţiei De Gradul Al Treilea

Tabele Matematice Uzuale Online Algebră Rezolvarea Ecuaţiei De Gradul Al Treilea

Funcție Algebrică De Gradul Al Treilea Wikipedia

Funcție Algebrică De Gradul Al Treilea Wikipedia

Relatiile Lui Viete Polinom De Gradul 3 Cu Exemple Rezolvate Bac Matematica Jitaruionelblog Pregatire Bac Si Evaluarea Nationala 2020 La Matematica Si Alte Materii Materiale Lectii Formule Exercitii Rezolvate Matematica Gimnaziu

Relatiile Lui Viete Polinom De Gradul 3 Cu Exemple Rezolvate Bac Matematica Jitaruionelblog Pregatire Bac Si Evaluarea Nationala 2020 La Matematica Si Alte Materii Materiale Lectii Formule Exercitii Rezolvate Matematica Gimnaziu

Ecuatii De Gradul 1 Si 2 Anideșcoală Ro

Ecuatii De Gradul 1 Si 2 Anideșcoală Ro

Ecuatia De Gradul Al Ii Lea

Ecuatia De Gradul Al Ii Lea

Doc Ecuatia De Gradul Al Ii Lea Exercitii Modele Daniel Daniel Academia Edu

Doc Ecuatia De Gradul Al Ii Lea Exercitii Modele Daniel Daniel Academia Edu

Ecuatia De Gradul Formula Cu Delta Lic Ecuatia2 1 Youtube

Ecuatia De Gradul Formula Cu Delta Lic Ecuatia2 1 Youtube

Exercitii Rezolvate Ecuatia De Gradul 2 Lic Ecuatia2 2 Youtube

Exercitii Rezolvate Ecuatia De Gradul 2 Lic Ecuatia2 2 Youtube

Https Analizamatematicampt Files Wordpress Com 2010 10 Rezolvarea Ecuatiilor De Grad Superior Pdf

Https Analizamatematicampt Files Wordpress Com 2010 10 Rezolvarea Ecuatiilor De Grad Superior Pdf

Formule Online Probleme Si Exercitii Rezolvate Ecuatia De Gradul 3 Exercitiu Rezolvat 1

Formule Online Probleme Si Exercitii Rezolvate Ecuatia De Gradul 3 Exercitiu Rezolvat 1

Ecuatii De Gradul 1 Si 2 Anideșcoală Ro

Ecuatii De Gradul 1 Si 2 Anideșcoală Ro

Rezolvarea Ecuaţiei De Gradul 1 Cu O Necunoscută Exemple 1

Rezolvarea Ecuaţiei De Gradul 1 Cu O Necunoscută Exemple 1

Rezolvare De Ecuatii In Multimea Numerelor Complexe C Ecuatii Bipatrate Clasa A 10 A Bac Ecuatii Cu Delta Negativ Exercitii Rezolvate Matematica Jitaruionelblog Pregatire Bac Si Evaluarea Nationala 2020 La Matematica Si

Rezolvare De Ecuatii In Multimea Numerelor Complexe C Ecuatii Bipatrate Clasa A 10 A Bac Ecuatii Cu Delta Negativ Exercitii Rezolvate Matematica Jitaruionelblog Pregatire Bac Si Evaluarea Nationala 2020 La Matematica Si

Formuleonline Probleme Si Exercitii Rezolvate Ecuatia De Gradul 2 Exercitiu Rezolvat 33 Math Examples Math Chemistry

Formuleonline Probleme Si Exercitii Rezolvate Ecuatia De Gradul 2 Exercitiu Rezolvat 33 Math Examples Math Chemistry

Ecuatia De Gradul Al Doilea Algoritmul De Rezolvare Youtube

Ecuatia De Gradul Al Doilea Algoritmul De Rezolvare Youtube

Rezolvare De Ecuatii In Multimea Numerelor Complexe C Ecuatii Bipatrate Clasa A 10 A Bac Ecuatii Cu Delta Negativ Exercitii Rezolvate Matematica Jitaruionelblog Pregatire Bac Si Evaluarea Nationala 2020 La Matematica Si

Rezolvare De Ecuatii In Multimea Numerelor Complexe C Ecuatii Bipatrate Clasa A 10 A Bac Ecuatii Cu Delta Negativ Exercitii Rezolvate Matematica Jitaruionelblog Pregatire Bac Si Evaluarea Nationala 2020 La Matematica Si

E4 Sa Se Formeze Ecuatia De Gradul Al Doilea Care Are Solutiile A 3supra2 5supra3 B 3 Pe Langa Brainly Ro

E4 Sa Se Formeze Ecuatia De Gradul Al Doilea Care Are Solutiile A 3supra2 5supra3 B 3 Pe Langa Brainly Ro

Ecuatii De Gradul Al Ii Lea By Iuliana Niculaie Issuu

Ecuatii De Gradul Al Ii Lea By Iuliana Niculaie Issuu

Ecuatia De Gradul Ii

Ecuatia De Gradul Ii

Pdf Trei Teste Ecuatia De Gradul Al Doilea Elena Tarita Academia Edu

Pdf Trei Teste Ecuatia De Gradul Al Doilea Elena Tarita Academia Edu

Ecuatii Reciproce

Ecuatii Reciproce

Source : pinterest.com